ही गरीब या हो धनवान |

शिक्षा होगी एक समान!

शिक्षक संघ जिन्दावाद !

शिक्षक एकता जिन्दावाद !

Home / Government Order (Go)

Government Order (Go)

S.no Heading Download
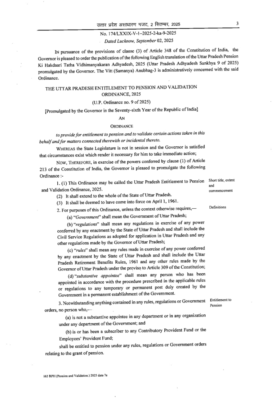
1 Pension Hakdari Gazat 2 Sept.25
2 Sheshik yougta 2025
3 Adhiyachan 2025
4 NPS to Old pension
5 UPMSP Service Guidelines oder
6 Online Attendance GO
7 Time table class 9th & 10th
8 Time table class 11th &12th